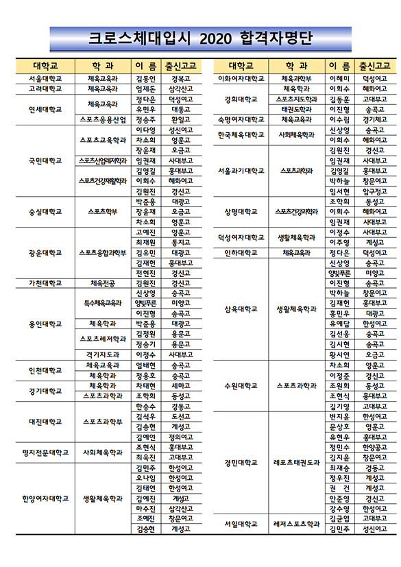
크로스 체대입시

전체 합격자 명단

진정한 크로스의 역량

합격자의 출신고와 진학 대학, 학과를 투명하고 정확하게 보여드립니다.
왜 크로스가 그동안 주요대학에 많은 합격자를 배출하는지를...
무엇이 실력인지를 저희는 이 명단으로 보여드리겠습니다.


2001 ~ 2021 © CROSS SPORTS ACADEMY All Rights Reserved. INFO@CROSS-SPORTS.CO.KR Tel : 1833-4808